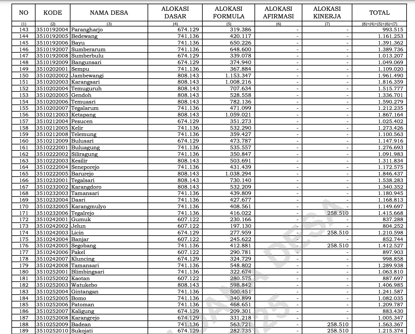
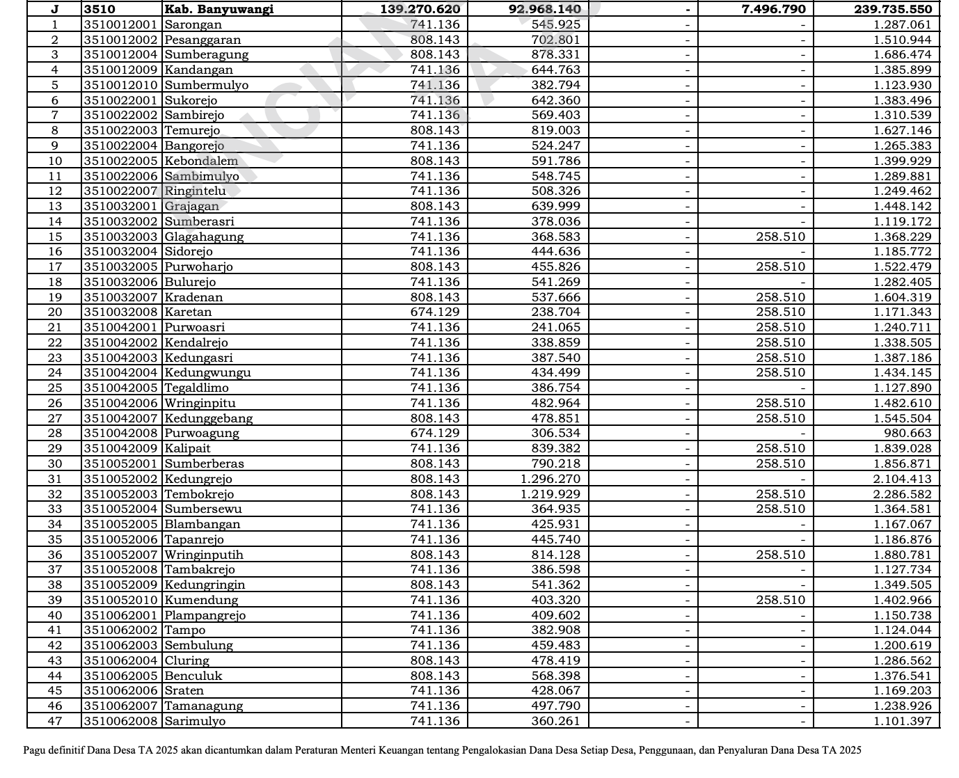
Banyuwangi – Pemerintah Kabupaten Banyuwangi akan menerima kucuran Dana Desa sebesar Rp239.735.550.000 untuk tahun anggaran 2025. Dana tersebut akan didistribusikan kepada 189 desa di wilayah Banyuwangi. Berikut rincian besarannya per desa:
Tabel Besaran per Desa TA 2025 No morNama Desa Besaran 2025 (Rp) 1 Sarongan 1.287.061.000 2 Pesanggaran 1.510.944.000 3 Sumberagung 1.686.474.000 4 Kandangan 1.385.899.000 5 Sumbermulyo 1.123.930.000 6 Sukorejo 1.383.496.000 7 Sambirejo 1.310.539.000 8 Temurejo 1.627.146.000 9 Bangorejo 1.265.383.000 10 Kebondalem 1.399.929.000 11 Sambimulyo 1.289.881.000 12 Ringintelu 1.249.462.000 13 Grajagan 1.448.142.000 14 Sumberasri 1.119.172.000 15 Glagahagung 1.368.229.000 16 Sidorejo 1.185.772.000 17 Purwoharjo 1.522.479.000 18 Bulurejo 1.282.405.000 19 Kradenan 1.604.319.000 20 Karetan 1.171.343.000
21 Purwoasri 1.240.711.000 22 Kendalrejo 1.338.505.000 23 Kedungasri 1.387.186.000 24 Kedungwungu 1.434.145.000 25 Tegaldlimo 1.127.890.000 26 Wringinpitu 1.482.610.000 27 Kedunggebang 1.545.504.000 28 Purwoagung 980.663.000 29 Kalipait 1.839.028.000 30 Sumberberas 1.856.871.000 31 Kedungrejo 2.104.413.000 32 Tembokrejo 2.286.582.000 33 Sumbersewu 1.364.581.000 34 Blambangan 1.167.067.000 35 Tapanrejo 1.186.876.000 36 Wringinputih 1.880.781.000 37 Tambakrejo 1.127.734.000 38 Kedungringin 1.349.505.000 39 Kumendung 1.402.966.000 40 Plampangrejo 1.150.738.000
41 Tampo 1.124.044.000 42 Sembulung 1.200.619.000 43 Cluring 1.286.562.000 44 Benculuk 1.376.541.000 45 Sraten 1.169.203.000 46 Tamanagung 1.238.926.000 47 Sarimulyo 1.101.397.000 48 Kaliploso 956.843.000 49 Purwodadi 1.145.161.000 50 Jajag 1.452.894.000 51 Gambiran 1.730.583.000 52 Yosomulyo 1.350.450.000 53 Wringinrejo 1.136.539.000 54 Wringinagung 1.136.950.000 55 Bagorejo 1.359.681.000 56 Wonosobo 1.560.861.000 57 Sukonatar 1.064.707.000 58 Kebaman 1.474.536.000 59 Sumbersari 1.365.459.000 60 Parijatah Wetan 1.185.370.000
61 Parijatah Kulon 1.291.516.000 62 Rejoagung 1.413.384.000 63 Kepundungan 1.179.550.000 64 Sukomaju 1.264.489.000 65 Kembiritan 1.964.937.000 66 Genteng Wetan 1.821.036.000 67 Genteng Kulon 1.839.708.000 68 Setail 1.568.232.000 69 Kaligondo 1.776.672.000 70 Tegalharjo 1.467.066.000 71 Sepanjang 1.329.705.000 72 Karangharjo 1.855.272.000 73 Tulungrejo 2.038.656.000 74 Sumbergondo 1.161.679.000 75 Bumiharjo 1.279.759.000 76 Margomulyo 1.047.188.000 77 Kalibarukulon 1.256.353.000 78 Kalibarumanis 1.647.651.000 79 Kalibaruwetan 1.694.250.000 80 Kajarharjo 1.731.627.000
81 Banyuanyar 1.483.594.000 82 Kebonrejo 1.761.372.000 83 Gambor 1.149.548.000 84 Alasmalang 1.015.628.000 85 Benelan Kidul 1.167.671.000 86 Lemahbangkulon 970.370.000 87 Singojuruh 1.206.307.000 88 Gumirih 1.328.084.000 89 Cantuk 1.066.615.000 90 Padang 958.370.000 91 Singolatren 1.050.392.000 92 Kemiri 1.068.079.000 93 Sumberbaru 951.401.000 94 Aliyan 1.288.036.000 95 Mangir 920.840.000 96 Gladag 1.376.281.000 97 Bubuk 1.010.546.000 98 Lemahbangdewo 915.113.000 99 Gitik 841.646.000 100 Karangbendo 1.219.219.000
101 Rogojampi 1.294.851.000 102 Pengatigan 1.138.843.000 103 Kedaleman 1.028.690.000 104 Bareng 788.565.000 105 Bunder 1.002.008.000 106 Gombolirang 978.926.000 107 Benelan Lor 954.977.000 108 Labanasem 990.071.000 109 Pakistaji 1.274.923.000 110 Pondoknongko 1.059.155.000 111 Dadapan 1.200.643.000 112 Kedayunan 1.180.990.000 113 Kabat 1.133.011.000 114 Macan Putih 1.556.506.000 115 Tambong 995.705.000 116 Pendarungan 1.002.065.000 117 Kalirejo 1.035.301.000 118 Rejosari 884.942.000 119 Kemiren 783.276.000 120 Olehsari 816.171.000
121 Glagah 1.060.251.000 122 Paspan 931.829.000 123 Tamansuruh 1.000.865.000 124 Kenjo 777.609.000 125 Kampunganyar 1.045.133.000 126 Jambesari 993.602.000 127 Grogol 1.169.239.000 128 Bangsring 1.155.109.000 129 Bengkak 1.238.932.000 130 Alasbuluh 1.529.520.000 131 Wongsorejo 1.563.975.000 132 Sumberkencono 1.107.781.000 133 Sidodadi 1.057.522.000 134 Bajulmati 1.182.118.000 135 Watukebo 1.411.804.000 136 Alasrejo 1.142.566.000 137 Sidowangi 1.028.453.000 138 Sumberanyar 809.841.000 139 Bimorejo 1.003.001.000 140 Songgon 1.222.339.000
141 Balak 1.224.535.000 142 Sragi 1.397.097.000 143 Parangharjo 993.515.000 144 Bedewang 1.161.253.000 145 Bayu 1.391.362.000 146 Sumberarum 1.389.736.000 147 Sumberbulu 1.013.207.000 148 Bangunsari 1.049.069.000 149 Sempu 1.109.020.000 150 Jambewangi 1.961.490.000 151 Karangsari 1.816.359.000 152 Temuguruh 1.515.777.000 153 Gendoh 1.336.701.000 154 Temuasri 1.590.279.000 155 Tegalarum 1.212.235.000 156 Ketapang 1.867.164.000 157 Pesucen 1.025.402.000 158 Kelir 1.273.426.000 159 Telemung 1.100.563.000 160 Bulusari 1.147.916.000
161 Buluagung 1.276.693.000 162 Siliragung 1.091.983.000 163 Kesilir 1.311.834.000 164 Seneporejo 1.172.575.000 165 Barurejo 1.846.437.000 166 Tegalsari 1.538.283.000 167 Karangdoro 1.340.352.000 168 Tamansari 1.180.945.000 169 Dasri 1.168.813.000 170 Karangmulyo 1.149.697.000 171 Tegalrejo 1.415.668.000 172 Gumuk 837.288.000 173 Jelun 804.252.000 174 Licin 1.210.598.000 175 Banjar 852.744.000 176 Segobang 1.412.527.000 177 Pakel 897.903.000 178 Kluncing 998.858.000 179 Tamansari 1.289.938.000 180 Blimbingsari 1.063.810.000
181 Kaotan 887.697.000 182 Watukebo 1.406.985.000 183 Gintangan 1.241.587.000 184 Bomo 1.082.035.000 185 Patoman 1.209.787.000 186 Kaligung 883.430.000 187 Karangrejo 1.005.347.000 188 Badean 1.563.367.000 189 Sukojati 1.215.374.000
Sumber Data: Kementerian Keuangan – Dirjen Perimbangan Keuangan
Rincian Anggaran Banyuwangi TA 2025 Sumber Data: Kementerian Keuangan – Dirjen Perimbangan Keuangan
Link Download File , Klik Disini
Itulah rincian Anggaran 2025 di Kabupaten Banyuwangi, semoga informasi ini bermanfaat, ya!
Artikel ini dipublikasikan oleh Media Kampung .